St. Ambrose Roman Catholic Church
New York, NY
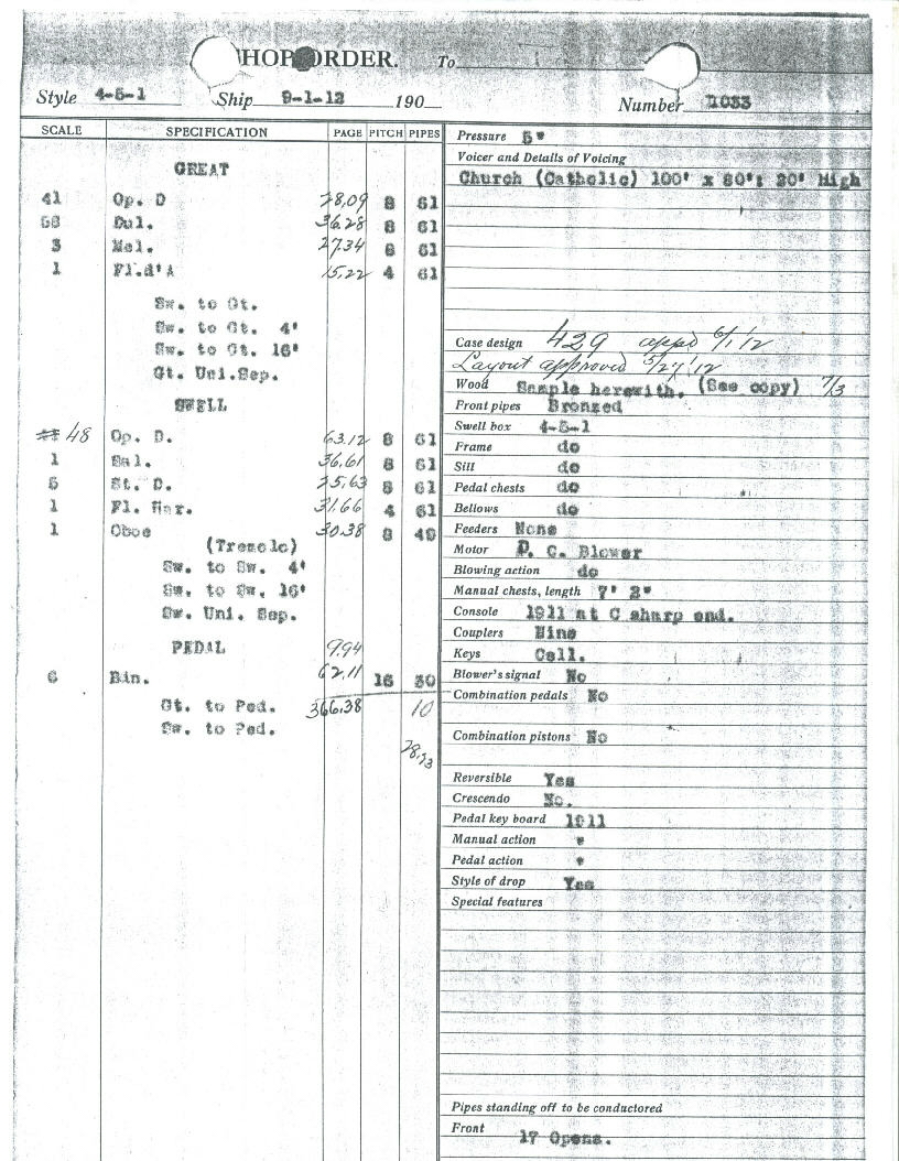
Opus 1033



 

Great
8 Open Diapason
8 Melodia
8 Dulciana
4 Flute d'Amour
  Gt Unison Off
  Sw to Gt 16-8-4

Swell
8 Open Diapason
8 Stopped Diapason
8 Salicional
4 Flute Harmonic
8 Oboe (TC)
  Tremolo
  Sw to Sw 16-4
  Sw Unison OFf

Pedal
16 Bourdon
    Gt to Ped
    Sw to Ped

 

Shop Order




 
Sources
Estey Opus List 
Shop Order 
  
 

Back