Church
of God
Roaring
Spring, PA
Opus 1152

Photo from St. Paul�s
Lutheran Church, New Cumberland, PA
The organ's final home (1929-1966)
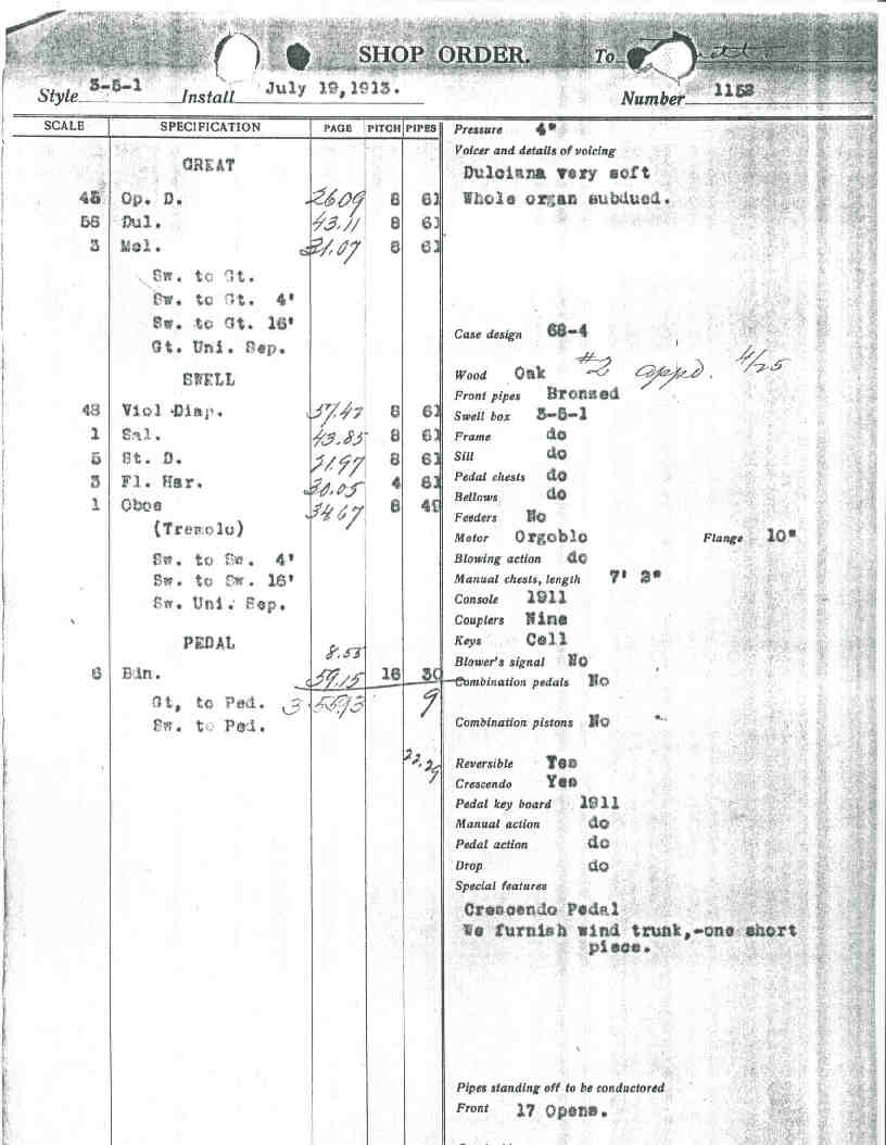
Great
8 Open Diapason
8 Melodia
8 Dulciana
Gt Unison Off
Sw to Gt 16-8-4
Swell
8 Violin Diapason
8 Stopped Diapason
8 Salicional
4 Flute Harmonic
8 Oboe (TC)
Tremolo
Sw to Sw 16-4
Sw Unison Off
Pedal
16 Bourdon
Gt to Ped
Sw to Ped
Shop Order
Sources
Estey Opus List
Shop Order
Church Archives