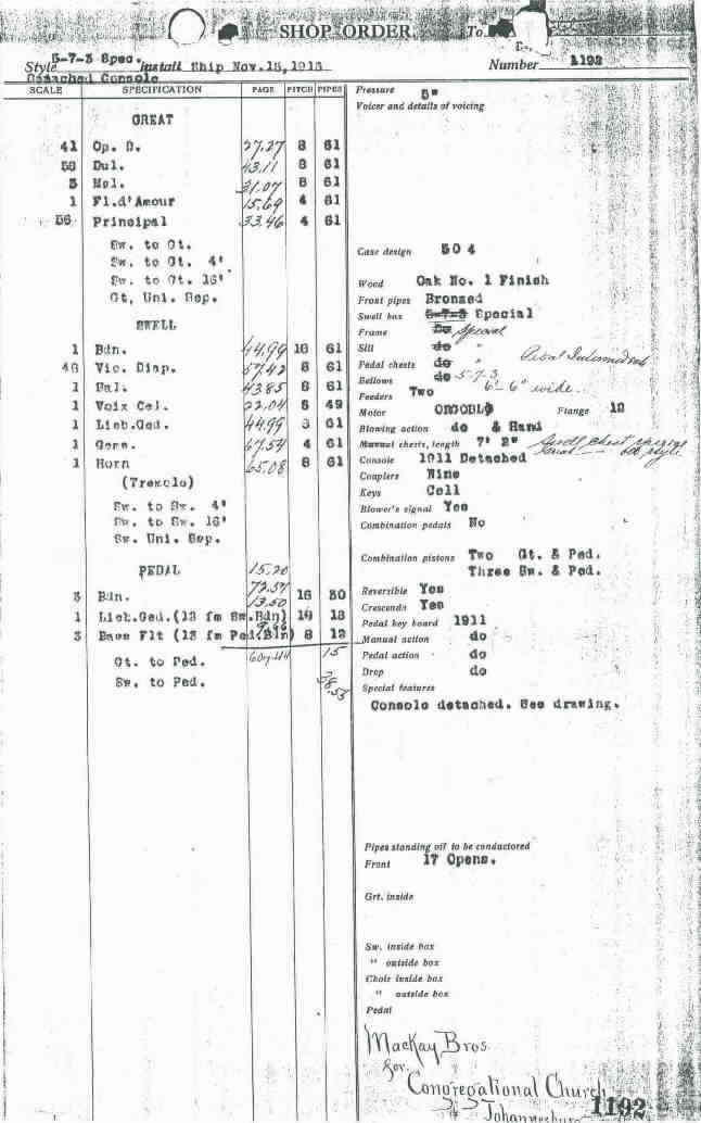
Congregational Church
Johannesburg, South Africa
Opus 1192

Great
8 Open Diapason
8 Melodia
8 Dulciana
4 Principal
4 Flute d'Amour

Sw to Gt 16-8-4
Gt Unison Sep.

Swell
16 Bourdon
  8 Violin Diapason
  8 Salicional
  8 Voix Celeste
  8 Lieblich Gedeckt
  4 Gemshorn
  8 Horn
    Tremolo

  Sw to Sw 16 & 4
  Unison Sep.

Pedal
16 Bourdon
16 Leiblich Gedeckt (Sw)
  8 Bass Flute

  Gt to Ped
  Sw to Ped


Shop Order